먼지나는 블로그

1일차 - 인터넷의 개념과 작동원리 본문

프론트엔드 공부/Internet

1일차 - 인터넷의 개념과 작동원리

고먼지 2021. 5. 17. 23:54

 

프론트엔드 개발자 로드맵에 따라 차근차근 기초부터 공부해보기로 했다

기본을 얼마나 탄탄하게 쌓느냐에 따라서 이후에 배워볼 언어들을 좀 더 깊게

이해하고 활용할 수 있을거라 생각한다

 


1. 인터넷

프론트엔드 개발자의 첫걸음

먼저 로드맵을 살펴보면 웹개발을 시작하기 전

반드시 알아둬야 하는 기본적인 상식들이 있는데

 

그 중 가장 처음으로 알아볼 것은 인터넷 정의와

동작원리에 대해 자세하게 알아보려고 한다

 

인터넷은 웹의 핵심적인 기술로써 우리가 흔하게 사용하는

컴퓨터들이 서로 통신가능하게 하는 거대한 네트워크

 

이 때 TCP/IP 프로토콜을 기반으로 수많은 컴퓨터와 네트워크들이 연결된

광범위한 컴퓨터 통신망이라고 할 수 있다.

 


 

2. 인터넷은 어떻게 작동되는것인가?

<단순 네트워크>

위 그림처럼 두개의 컴퓨터끼리 통신을 해야할 때

보통 이더넷케이블이나 무선(wifi, bluetooth)으로 연결해야 한다

 

하지만 이런 단순한 방식은

다수의 컴퓨터끼리 연결이 필요할 때

문제점이 발생하게 된다

 


 

 

바로 10대의 컴퓨터를 연결하기 위해선 컴퓨터 하나 당

9개의 케이블로 연결해야 되는 번거로움이 발생하게 되는 것!

 

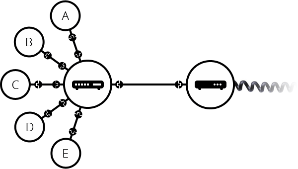
이러한 문제를 해결하기 위해 생긴것이 바로 라우터

 

 

각 컴퓨터가 라우터라고 불리는 소형 컴퓨터에 연결되어

9개의 케이블을 사용할 필요없이 단 한번의 작업만으로

컴퓨터 간의 정보를 주고 받을 수 있다

 


 

<네트워크 속의 네트워크>

 

 

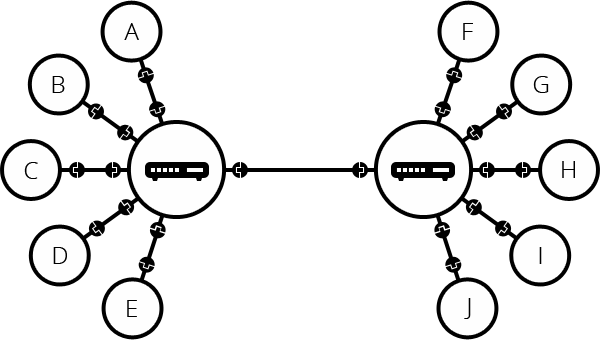
그렇다면 만약 지구에 살고 있는 수십억 명의 컴퓨터를

모두 연결하기 위해선 어떻게 해야할까?

 

위의 그림과 같이

컴퓨터를 라우터에 연결하고 라우터와 라우터를 연결하게 된다면?

 


 

 

위와 같은 방식으로 무한하게 확장할 수 있게 되는 것이다

 

첫번째 컴퓨터 간의 직접 연결시키는 방식과는 다르게

확연히 적은 수의 케이블로 연결할 수 있게 되었지만 한계가 존재한다

 

만약 한국에 있는 컴퓨터와 브라질에 있는 컴퓨터끼리 통신을 하고 싶다면?

거리 상 유선 케이블만을 이용해 연결하기는 물리적으로 불가능하다

 

이때 등장하는 것이 바로 모뎀이다

이미 전세계 사람들이 연결되어있는 전화시설을 이용하기 위해

모뎀이라고 불리는 특수 장비가 필요한데 우리의 네트워크 정보를

전화시설에서 처리할 수 있는 정보로 바꿔주는 장비다

(물론 역으로 정보를 받을 때도 적용) 

 

이때 모뎀을 통해 전화 시설에 연결되면 우리가 보낸 정보를

전달하기 위해 인터넷 서비스 제공업체 즉, ISP에 연결되어야 한다

ISP ex) LG유플러스, KT, SK텔레콤

 

그렇게 해서 우리의 정보를 받은 ISP가 다른 ISP라우터에

접근해 우리의 메세지를 전달할 수 있게 되는 것이다

  

인터넷은 위 그림과 같이

전체 네트워크 인프라로 구성된다

 


인터넷이란?

  • 웹의 핵심적인 기술
  • 컴퓨터들이 서로 통신할 수 있도록 도와주는 거대한 네트워크
  • TCP/IP 통신 프로토콜을 통해 정보를 주고 받는 컴퓨터 통신망

 

네트워크의 변화

  • 컴퓨터 ↔ 컴퓨터
  • 컴퓨터 ↔ 라우터 ↔ 컴퓨터
  • 컴퓨터 ↔ 라우터 ↔ 라우터 ↔ 컴퓨터
  • 컴퓨터 ↔ 라우터 ↔ 모뎀 ↔ 전화 시설
  • 컴퓨터 ↔ 라우터 ↔ 모뎀 ↔ 전화 시설 ↔ ISPISP ↔ 전화시설 ↔ 모뎀 ↔ 라우터 ↔ 컴퓨터

 

 

 

'프론트엔드 공부 > Internet' 카테고리의 다른 글

3일차 - DNS와 호스팅  (0) 2021.05.24
2일차 - HTTP와 브라우저  (0) 2021.05.18